1,602 읽음
젖은 종이가 마르면 왜 쭈글쭈글거릴까?
스마트1분
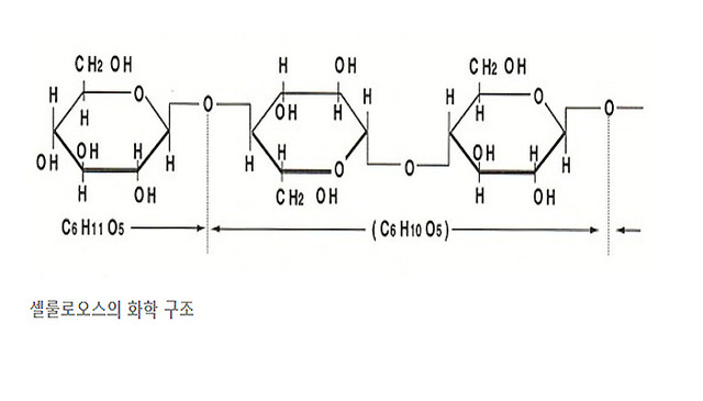
이를 알기 위해서 먼저 종이의 원재료에 대해서 알아보도록 하겠습니다. 종이 기본 원료는 섬유 셀룰로오스입니다. 셀룰로오스는 세 가지 요소 즉 탄소, 산소, 수소로 구성되어 있는데(C6H10O5) 이러한 셀룰로오스가 특별한 접착제나 화학재료 없이 물 속에서 수소 결합이 이루어져서 만들어지게 됩니다.



또 종이에 들어있는 셀룰로오스의 성격도 종이의 쭈글거림과 관련이 있습니다. 종이의 셀룰로오스 섬유들은 직경과 길이가 모두 다른데 이 때문에 물에 젖은 종이가 건조되면 일부 셀룰로오스 섬유는 금방 건조되어 크기가 빠르게 수축되는 반면 일부는 느리게 건조되어 섬유 크기가 천천히 줄어들게 됩니다. 이런 시간적 차이 때문에 종이의 모양이 변하게 되고 이것이 '쭈글거림'의 원인이 되는 것이죠.


다리미로 젖은 종이를 말리면 종이가 쭈글거리는 현상을 나아지게 할 수 있는데, 이는 종이 내 셀룰로오스 섬유들의 제가각인 건조되는 속도의 차이가 다리미의 온도와 압력때문에 줄게되어 우는 현상을 감소시켜주기 때문입니다.