1,834 읽음
'래미안 레벤투스' 분양가 떴다, 1순위 청약 조건은 바로…
위키트리
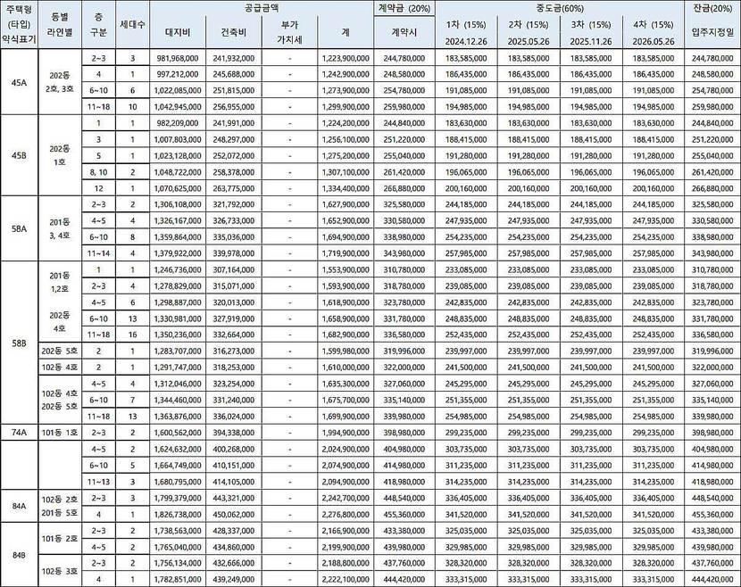
'래미안 레벤투스' 분양가를 자세히 살펴보면 △45A 12억2390만~12억9990만 원 △45B 12억2420만~13억3440만 원 △58A 16억2790만~17억1990만 원 △58B 15억5390만~16억7570만 원 △74A 19억9490만~20억9490만 원 △84A 22억4270만~22억7680만 원 △84B 21억6690만~22억2210만 원이다.

일반분양 1순위 청약 조건은 △입주자모집공고일 현재 서울특별시에 거주하거나 인천광역시 및 경기도에 거주하는 만 19세 이상 또는 세대주인 미성년자(자녀양육, 형제자매부양) △순위별 청약통장 자격요건을 만족해야 한다.
대상자는 △세대주일 것 △2주택 이상을 소유한 세대에 속하지 않을 것 △과거 5년 이내 당첨된 분의 세대에 속하지 않아야 한다.
당첨자 선정 순서는 1순위 가점제의 경우 지역-가점-청약통장 가입기간-추첨 순이다. 1순위 추첨제는 지역-무주택자 우선 공급-추첨 순이다. 2순위는 지역-추첨 순으로 당첨자가 선정된다.
다만, 이 단지는 강남구 소재로 △재당첨 제한 10년 △전매제한 3년 △거주의무 2년 등 강력한 규제가 적용되는 만큼 청약 자격에 유의해야 할 것으로 보인다.
청약일정은 8월 5일 특별공급, 8월 6일 1순위 접수가 시작된다.
한편 '래미안 레벤투스' 단지 인근에는 수인분당선 한티역과 3호선 매봉역, 2호선 역삼역·선릉역 등 강남 주요 지하철이 있어 교통 편의성이 좋다. 또한 대치동 학원가 인접하여 입시학원 통학이 용이한 것도 장점이다. 레벤투스 뜻은 라틴어로 귀환을 의미하는 단어로, 명예와 부의 귀환을 의미한다.